PG科技电子有限公司 - 住宅能源回收系统专家

面向航空严苛环境的双绕组感应发电机多目标优化设计方法研究

发布时间:2026-01-24 13:56:20| 浏览次数:

  。传统单一供电体制难以满足日益增长的多元化负载需求,交直流混合供电架构已成为必然选择。双绕组感应发电机作为一种创新的单机多输出发电解决方案,凭借其结构坚固、宽速域运行及交直流灵活输出的独特优势,在航空多供电体制应用中展现出巨大潜力。本文系统梳理了航空电气化发展脉络与供电体制演进规律,深入剖析了双绕组感应发电机系统的工作原理、拓扑结构、控制策略与参数设计等关键技术,并详细探讨了其在航空双轴多电发动机、大型飞机直接式供电系统及分布式电推进飞机三种典型场景中的创新应用方案与技术挑战,为我国航空供电系统自主创新提供全面深入的理论参考与技术路径。

面向航空严苛环境的双绕组感应发电机多目标优化设计方法研究(图1)

  航空业的电气化转型是应对能源危机、环境挑战和性能需求提升的综合性解决方案。自20世纪末期多电飞机概念提出以来,航空电气化经历了从次级系统电气化到推进系统电气化的深刻变革,这一过程不仅改变了飞机的能量分配方式,更重新定义了飞机供电系统的设计哲学。

  航空电气化的核心目标是通过“电能统一”提升全机能量利用效率。在传统飞机中,航空发动机提取的引气能量需要经过机械、液压、气动和电气四种路径传递,转换效率低且系统复杂。多电飞机通过大幅增加电气系统的功率占比,减少了非电能量形式的转换环节。波音787的“无引气”架构取消了大功率引气管路,将发动机全部功率集中于轴输出,再通过发电机转化为电能,这一设计使燃油消耗降低了约3%,维护成本下降15%以上。

  随着全电飞机概念的演进,电气化已从次级系统延伸至推进系统。先进电推进技术包括分布式推进、边界层吸入和混合电推进等创新构型,这些技术对电源系统提出了前所未有的要求:功率等级从百千瓦级跃升至兆瓦级,功率密度需提升2-3倍,同时需满足飞行各阶段动态变化的负载特性。德国航空航天中心(DLR)的研究表明,到2050年,短程客机的推进功率将有50%以上来自电力系统,这要求电源系统具备极强的灵活性和适应性。

面向航空严苛环境的双绕组感应发电机多目标优化设计方法研究(图2)

  航空供电体制的演进是系统复杂度、可靠性、重量和效率等多目标优化的结果,其发展脉络遵循着“技术推动-需求牵引”的双重逻辑。

  低压直流体制(6-28V)作为航空供电的起点,满足了早期飞机简单的照明、通信和点火需求。这一阶段的技术特征表现为铅酸蓄电池与直流发电机的组合,电压等级的选择主要基于安全考虑和电子管设备的工作电压。然而,随着功率需求超过5kW,低压直流系统的配电网重量急剧增加。理论计算表明,输送相同功率时,28V系统导线倍,这一重量惩罚对于追求推重比的航空器而言是不可接受的。

  高压直流体制(270V)的兴起标志着航空供电技术的重要突破。美国军方在20世纪70年代主导了270V HVDC标准的制定,主要基于以下技术考量:首先,这一电压等级低于300V的空气击穿阈值,在安全性上具有天然优势;其次,270V是28V的倍数,便于与现有设备兼容;再次,该电压等级下,接触器灭弧问题相对可控。F-35战斗机全面采用270V HVDC体制,其发电系统由两台250kVA的起动/发电机构成,功率密度达到1.5kVA/kg,远高于传统交流系统。

  交流供电体制的发展则沿着不同的技术路径演进。恒速恒频系统通过恒速传动装置将发动机的变速输出转换为恒速输入,使发电机能够输出400Hz恒频交流电。IDG作为这一技术的集大成者,将CSD和发电机集成为一体,但付出了重量和复杂性的代价——典型的60kVA IDG重量超过50kg,且平均故障间隔时间仅3000-4000小时。相比之下,变速恒频系统通过电力电子变换器实现恒频输出,取消了机械传动环节,显著提升了可靠性。现代变频交流系统则进一步简化,直接输出宽频交流电(如360-800Hz),这一设计基于对负载特性的重新认识:现代飞机上约70%的电能用于驱动电机类负载,其中大部分对频率变化不敏感。

  交直流混合供电的兴起源于负载特性的分化和系统效率的全局优化。波音787的供电系统设计体现了这一理念:4台230V变频交流主发电机总容量达1.45MVA,其中约650kW通过自耦变压整流器转换为270V直流电,专门供给电动液压泵和环控系统压缩机等大功率电机负载。这种架构减少了不必要的AC-AC转换环节,使全机供电效率提升了3-5%。空客A350则采用了略有不同的混合架构,其2台主发电机输出230V变频交流,但通过更为分布的整流单元为直流负载供电,增强了系统容错能力。

面向航空严苛环境的双绕组感应发电机多目标优化设计方法研究(图3)

  发展多供电体制不仅是技术发展的自然结果,更是航空电气化向纵深推进的内在要求。从技术角度看,这一必要性体现在三个维度:

  负载适配性优化:现代飞机负载呈现明显的“功率-频率”分化特征。大型电机负载(100kW)如环控系统压缩机、电动液压泵等,适合变频交流或高压直流供电;精密电子设备、航电系统则需要高质量的恒频交流或低压直流;新兴的定向能武器系统则对脉冲功率和瞬态响应提出了特殊要求。单一供电体制难以同时优化满足这些差异化需求。

  系统效率全局最优化:飞机的能量转换链包括“燃油化学能-轴机械能-电能-负载有用能”多个环节,多供电体制允许在每个环节选择最优转换路径。研究表明,对于典型的200座级客机,优化设计的混合供电系统相比传统架构可减少全任务燃油消耗2-3%。

  安全性与可靠性提升:多供电体制本质上是多冗余架构。当某一供电通道故障时,关键负载可通过静态转换开关自动切换至备用通道,这种“无缝切换”能力对飞行安全至关重要。空客A380的供电系统设计了5条独立的供电通道,确保在任何单点故障下都不会丧失关键功能。

  然而,实现多供电体制也面临严峻挑战:首先,系统复杂度显著增加,需要先进的能量管理系统实时协调各通道的功率分配;其次,不同电压等级和频率的电源之间可能存在电磁干扰,需要精细的滤波和屏蔽设计;最后,混合系统的故障诊断和隔离比单一系统更加困难,需要智能化的健康管理系统。

面向航空严苛环境的双绕组感应发电机多目标优化设计方法研究(图4)

  双绕组感应发电机是一种定子上嵌放两套独立绕组的三相感应电机,这两套绕组在电气上隔离,仅通过气隙磁场耦合。功率绕组直接连接负载或简单整流电路,提供主电能输出;控制绕组连接双向功率变换器,既提供励磁控制,又可作为第二电能输出通道。

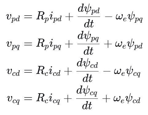
  DWIG的独特之处在于两套绕组对同一旋转磁场的共享与竞争。设功率绕组和控制绕组产生的磁动势分别为$F_p$和$F_c$,它们在气隙中合成产生总磁动势$F_{total}=F_p+F_c$。这一合成磁动势与转子感应电流产生的磁动势$F_r$相互作用,决定了电机的能量转换特性。在稳态发电模式下,控制绕组通过调节其电流的相位,可以精确控制功率绕组的输出电压,这一特性使DWIG能够在宽转速范围内实现稳压输出。

面向航空严苛环境的双绕组感应发电机多目标优化设计方法研究(图5)

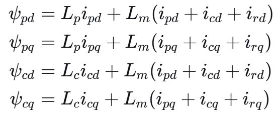
  其中下标$p$和$c$分别代表功率绕组和控制绕组,$d$和$q$代表同步旋转坐标系的两个轴分量。磁链方程则更为复杂,需要考虑两套绕组之间的互感:

面向航空严苛环境的双绕组感应发电机多目标优化设计方法研究(图6)

  式中$L_m$为励磁电感,$L_p$和$L_c$分别为功率绕组和控制绕组的漏感,$i_{rd}$和$i_{rq}$为转子电流的d-q分量。这一耦合的磁链关系是DWIG实现双通道独立控制的基础,也是控制策略设计的难点所在。

面向航空严苛环境的双绕组感应发电机多目标优化设计方法研究(图7)

  DWIG系统的拓扑结构随应用需求不断演进,从简单的单输出拓扑发展到复杂的多输出集成拓扑。

  最早的DWIG研究聚焦于直流输出应用,功率绕组通过三相二极管桥式整流器连接直流母线,这种设计的优势在于功率侧不需要主动开关器件,可靠性高。控制绕组连接一个由IGBT或MOSFET构成的双向变换器,该变换器执行双重功能:一是提供可调的无功电流以维持气隙磁场;二是调节有功电流以稳定直流母线电压。美国田纳西理工大学Ojo教授团队的研究表明,这种拓扑在500-2000rpm的宽转速范围内可实现±2%的电压调节精度。

  然而,二极管整流器固有的6脉波特性会向发电机注入大量5次、7次谐波电流,这些谐波不仅增加绕组损耗,还会产生额外的谐波转矩。为解决这一问题,海军工程大学马伟明院士团队创新性地提出了十二相整流拓扑。通过两组三相绕组空间位移30°电角度,整流器输出的脉波数增加到12,显著降低了谐波含量。实验表明,十二相系统相比三相系统,总谐波畸变率可从28%降低至8%以下。

  当负载需求以交流电为主时,功率绕组可直接输出交流电,形成交流供电拓扑。这种拓扑下,控制绕组变换器的主要任务是提供精确的励磁控制,以补偿负载变化引起的电压波动。南京航空航天大学的研究团队在这一领域做出了重要贡献,他们提出了基于扰动观测器的解耦控制策略,成功实现了在0-100%突加负载下,交流输出电压波动小于5%的动态性能。

  这是DWIG最具创新性的应用形式,功率绕组输出变频交流电,可直接供给交流负载;控制绕组连接的双向变换器则输出稳定的直流电。两套供电系统在物理上集成于一台电机内,但在电气上保持隔离,这种设计带来了多重优势:首先,减少了功率转换环节,系统效率可提升3-5%;其次,交流侧和直流侧的故障可以相互隔离,提高了系统容错能力;最后,单机集成减少了重量和体积,功率密度相比分离式系统可提高15-20%。

  为进一步提高功率密度和容错能力,五相、六相等多相DWIG成为研究热点。五相DWIG由于增加了额外的空间自由度,不仅可以实现更平滑的转矩输出,还具备一相开路后持续运行的能力。波兰华沙工业大学的研究表明,五相DWIG在单相故障下,通过重新配置剩余相位的电流,仍可保持80%以上的额定功率输出,这对航空电源的高可靠性要求具有重要意义。

面向航空严苛环境的双绕组感应发电机多目标优化设计方法研究(图8)

  DWIG系统的性能高度依赖控制策略,近年来出现了多种先进控制方法,各有特点和适用场景。

  FOC是DWIG控制的经典方法,通过将电流分解为励磁分量和转矩分量实现解耦控制。然而传统FOC对电机参数变化敏感,特别是转子电阻随温度的变化会显著影响控制精度。为解决这一问题,重庆大学团队提出了参数自适应FOC,在线辨识转子电阻和互感参数,实验表明该方法可将参数变化引起的输出电压误差从8%降低至2%以内。

  DPC摒弃了电流内环,直接控制瞬时有功和无功功率。该方法基于功率平衡原理:功率绕组的输出功率变化会立即反映在控制绕组的参考功率中。DPC的突出优势是动态响应快,开关频率固定,但稳态性能略逊于FOC。西班牙加泰罗尼亚理工大学的研究团队将DPC与模型预测控制结合,在保持快速动态响应的同时改善了稳态性能。

  ADRC是解决DWIG强耦合和非线性问题的有效工具。其核心思想是将模型不确定性和外部扰动视为“总扰动”,通过扩张状态观测器进行实时估计并补偿。南京航空航天大学针对DWIG交流直流同时输出的特点,设计了双通道ADRC控制器,其中交流电压环和直流电压环分别设计ESO,实验结果验证了该方法在负载突变和转速变化情况下的优越性能:在75%突加负载下,交流电压跌落小于8%,恢复时间小于40ms;直流电压跌落小于5%,恢复时间小于30ms。

  线性自抗扰控制是ADRC的简化形式,通过将非线性函数线性化,降低了参数整定难度。LADRC在DWIG应用中表现出良好的工程实用性,仅需调整带宽参数即可获得满意的控制性能。

  为减少系统传感器、提高可靠性,无速度传感器技术成为研究重点。主流方法包括基于模型参考自适应系统、滑模观测器和高频信号注入法。哈尔滨工业大学团队提出了一种改进的滑模观测器,通过引入饱和函数替代传统的符号函数,有效抑制了抖振现象。实验表明,该方法在200-2000rpm范围内,转速估计误差小于1%。

  对于航空应用,容错能力至关重要。五相DWIG因其冗余相位而备受关注。当一相发生开路故障时,传统的解耦变换矩阵不再适用,需要重构变换矩阵以维持磁场定向控制。印度理工学院的研究表明,通过重新定义 Clarke和Park变换,故障后的五相DWIG仍可保持解耦控制,但输出功率能力会下降20-25%。更先进的容错策略是在健康相中注入三次谐波电流,通过谐波磁场补偿故障相缺失的磁动势,这种方法可将功率损失降低至10-15%。

面向航空严苛环境的双绕组感应发电机多目标优化设计方法研究(图9)

  DWIG的参数设计是一个多目标、多约束的优化问题,需要平衡电磁性能、热特性、机械强度和成本等多个维度。

  功率绕组与控制绕组的匝数比是核心设计参数,直接影响两套绕组的电压比和容量分配。设功率绕组匝数为$N_p$,控制绕组匝数为$N_c$,则两套绕组的电压比近似为$V_p/V_c \approx N_p/N_c$。对于交直流混合应用,这一匝比需根据交流直流负载的功率比例优化确定。通过有限元分析发现,当交流直流功率比为2:1时,最优匝比约为1.5:1,此时两套绕组的铜耗接近平衡,总效率最高。

  DWIG的气隙磁密设计需要特别谨慎。过高的磁密会导致铁心饱和,使电感参数非线性变化,破坏控制系统的解耦效果;过低的磁密则会降低材料利用率,增加电机重量。航空用DWIG通常将气隙磁密设计在0.8-1.0T之间,这一范围在饱和阈值以下,同时保证了较高的功率密度。

  航空发电机面临严酷的热环境,特别是嵌入发动机的多电发动机发电机,环境温度可达150°C以上。DWIG的热设计需要考虑两套绕组的发热耦合。功率绕组由于承载主功率,铜耗较大;控制绕组虽然电流较小,但谐波含量高,也会产生可观的附加损耗。计算表明,在典型工作点,控制绕组的谐波损耗可达其基波损耗的30-40%。

  现代DWIG设计广泛采用智能优化算法。遗传算法、粒子群算法和模拟退火算法都被用于DWIG的多目标优化。优化目标通常包括:效率最大化、重量最小化、成本最小化;约束条件包括:温升限制、短路电流限制、电压调整率限制等。重庆大学的研究团队采用NSGA-II多目标遗传算法,对一台50kVA DWIG进行了优化,最终方案相比初始设计效率提高了2.1%,重量减轻了8.5%,同时满足了航空电源的所有特殊要求。

  航空应用的重量敏感性驱动了新材料和新工艺的应用。定子铁心采用0.1mm厚的高硅钢片可降低铁耗15-20%;绕组采用空心铜线结合油冷技术,可在相同温升下提高电流密度30%;转子采用高强度铝合金或钛合金,可减轻重量同时保证高速下的机械强度。

面向航空严苛环境的双绕组感应发电机多目标优化设计方法研究(图10)

  现代大型商用航空发动机多为双轴结构,高压轴转速高(约10000-15000rpm),低压轴转速低(约3000-5000rpm)。多电发动机理念旨在两个轴上均集成发电功能,最大化利用发动机能量。

  基于DWIG的双轴多电发动机供电系统在高压轴上,集成一台高速DWIG作为起动/发电机,该电机在起动阶段作为电动机运行,驱动发动机达到点火转速;在发电阶段则作为发电机运行,输出电能。在低压轴上,集成一台低速DWIG作为纯发电机。两台DWIG的控制绕组均连接双向变换器,这些变换器的直流侧通过公共直流母线并联,形成一个分布式直流电网。

  该系统的核心创新在于功率的协同分配。通过控制两台DWIG控制绕组变换器的工作点,可以灵活分配高压轴和低压轴的发电比例。在起飞阶段,发动机推力最大,高压轴转速高,此时高压轴DWIG可承担70%以上的发电任务;在巡航阶段,发动机工作在高效区,低压轴转速相对提升,此时可将更多发电任务转移至低压轴DWIG,使发动机整体运行在最优效率线 关键技术挑战与解决方案

  高速转子动力学:高压轴DWIG的转子需承受15000rpm以上的转速,离心力巨大。解决方案包括采用高强度复合材料护套、先进的动平衡技术以及非接触式磁轴承。研究表明,碳纤维复合材料护套可将转子承受的应力降低40%,同时允许更高的转速设计。

  基于现有技术预测,采用DWIG的双轴多电发动机供电系统可实现以下性能:功率密度≥1.8kVA/kg,系统效率≥94%,起动时间≤30s(从静止到慢车转速)

面向航空严苛环境的双绕组感应发电机多目标优化设计方法研究(图11)

  传统大型飞机如波音787采用间接式交直流混合供电,发电机输出变频交流电,再通过多个变换器转换为所需的各种电能形式。基于DWIG的直接式方案则简化了这一架构。

  直接式方案采用两台或多台大功率DWIG作为主发电机。每台DWIG的功率绕组直接输出230V/360-800Hz变频交流电,供给环控系统、防冰系统等大功率交流负载;控制绕组通过变换器输出270V直流电,供给电力作动器、航电设备等直流负载。交流母线和直流母线在发电机层面就已经分离,省去了大型自耦变压整流器。

  以200座级客机为例,间接式方案通常需要4台250kVA交流发电机、4套150kW ATRU以及相应的滤波和保护装置,总重量约600kg。基于DWIG的直接式方案则需要4台交直流集成发电机(每台交流200kVA+直流100kW),总重量可降至450-500kg,减重效果明显。此外,由于减少了AC-DC转换环节,系统效率可提升2-3%,按飞机年均飞行5000小时计算,每年可节约燃油约30吨。

  大功率DWIG设计:航空主发电机功率等级达250-500kVA,设计挑战巨大。采用模块化设计理念,将大功率DWIG分解为多个并联的功率单元,每个单元独立控制但磁路耦合,这既降低了单个变换器的容量要求,又提供了天然的容错能力。

面向航空严苛环境的双绕组感应发电机多目标优化设计方法研究(图12)

  分布式电推进是航空电气化的前沿,其核心是用多个小功率电动机驱动多个推进器,取代传统的一到两台大推力发动机。

  DEP飞机对电力系统的要求极为严苛:功率等级达数兆瓦,可靠性要求高,重量敏感性极强。

  在DEP系统中,推进电机可分为两类:一类是巡航电机,用于提供持续推力,对动态响应要求不高;另一类是调节电机,用于提供姿态控制和推力调节,需要快速动态响应。DWIG系统可优雅地满足这一分化需求:交流输出直接驱动巡航电机,省去了变频器,提高了效率;直流输出通过分布式逆变器驱动调节电机,实现了精确控制。

  兆瓦级功率传输:DEP飞机需要传输数兆瓦的功率,传统电缆重量巨大。高温超导技术提供了可能的解决方案。德国E²AGLE研究设施正在测试采用高温超导电缆的兆瓦级航空电力系统,初步结果表明,相比传统铜电缆,超导系统可减重60%以上。

  能量管理与优化:DEP飞机在不同飞行阶段功率需求变化巨大。基于模型预测控制的能量管理策略可提前优化功率分配,平衡发动机、发电机、储能装置和推进电机之间的功率流。仿真显示,智能能量管理可提升全任务效率5-8%。

  热管理与集成:兆瓦级电力系统的热管理是巨大挑战。采用两相冷却技术和热管技术,可将散热系统的重量降低30-40%。将电力系统的散热与飞机环控系统集成,可进一步提高能量综合利用效率。

  NASA的X-57 Maxwell验证机已部分验证了DEP技术,但采用的是传统供电架构。下一代DEP验证机有望采用基于DWIG的混合供电系统。初步评估表明,相比传统方案,DWIG方案可使电力系统重量减轻15-20%,效率提升3-5%,这对于航程敏感的电动飞机具有重要意义。

面向航空严苛环境的双绕组感应发电机多目标优化设计方法研究(图13)

  航空电气化正在深刻改变飞机设计和能源利用方式,而供电体制的多元化与智能化是支撑这场变革的基础。双绕组感应发电机作为一种创新的发电设备,凭借其独特的技术优势,在航空多供电体制中展现出巨大的应用潜力。

  回顾DWIG技术的发展,可以看到一条清晰的演进路径:从最初的简单直流发电,到交流发电,再到交直流混合发电;从三相基础拓扑,到多相容错拓扑;从传统的矢量控制,到先进的自抗扰控制、模型预测控制。

  高可靠性、高功率密度、宽运行范围和严苛环境适应性。目前,DWIG在以下方面已取得实质性进展:功率密度达到1.5-1.8kVA/kg,接近航空同步发电机的水平;系统效率达到92-95%,在部分工况下甚至超过同步发电机;通过多相化和容错控制,满足了航空电源的高可靠性要求;无位置传感器技术减少了故障点,提高了系统鲁棒性。

面向航空严苛环境的双绕组感应发电机多目标优化设计方法研究(图14)

  尽管DWIG技术取得了显著进步,但要实现在航空领域的广泛应用,仍需在以下方向持续突破:

  发电机、变换器、电缆、负载和冷却系统的整体匹配,通过多学科设计优化方法寻找全局最优解。基于模型的系统工程方法将在这一过程中发挥关键作用。标准化与适航认证:DWIG作为新型航空电源,需要建立完善的标准体系和适航认证方法。这包括设计标准、测试标准和运行标准,以及与现有航空电力系统的兼容性规范。中国在这一领域有机会参与甚至主导国际标准的制定。

  随着全电飞机的发展,DWIG可能与燃料电池、超级电容等新型储能装置深度集成,形成混合能源系统;随着多电发动机的普及,DWIG可能进一步与发动机结构融合,实现更深层次的机电一体化。

面向航空严苛环境的双绕组感应发电机多目标优化设计方法研究(图15)

  中国航空工业正处于从跟随到并跑再到领跑的关键转型期,航空电源系统作为飞机的“心脏”,其自主创新能力至关重要。DWIG技术为我国航空电源发展提供了“换道超车”的可能。建议从以下方面重点布局:

  基础研究投入:持续支持DWIG的基础理论研究,特别是在新型拓扑、先进控制和多物理场耦合机理等方面,建立自主知识产权体系。

  航空电气化的浪潮不可阻挡,多供电体制的发展方向已然明确。双绕组感应发电机作为这一方向上的重要技术选项,正迎来发展的黄金时期。通过持续的技术创新和工程实践,DWIG有望成为下一代航空电源系统的核心装备,为绿色、高效、智能的航空未来提供强大动力支撑。中国航空人应抓住这一历史机遇,在航空电气化领域书写属于中国的辉煌篇章。

面向航空严苛环境的双绕组感应发电机多目标优化设计方法研究(图16)

  湖南泰德航空技术有限公司于2012年成立,多年来持续学习与创新,成长为行业内有影响力的高新技术企业。公司聚焦高品质航空航天流体控制元件及系统研发,深度布局航空航天、船舶兵器、低空经济等高科技领域,在航空航天燃/滑油泵、阀元件、流体控制系统及航空测试设备的研发上投入大量精力持续研发,为提升公司整体竞争力提供坚实支撑。

  公司总部位于长沙市雨花区同升街道汇金路877号,株洲市天元区动力谷作为现代化生产基地,构建起集研发、生产、检测、测试于一体的全链条产业体系。经过十余年稳步发展,成功实现从贸易和航空非标测试设备研制迈向航空航天发动机、无人机、靶机、eVTOL等飞行器燃PG电子油、润滑、冷却系统的创新研发转型,不断提升技术实力。

  公司已通过 GB/T 19001-2016/ISO 9001:2015质量管理体系认证,以严苛标准保障产品质量。公司注重知识产权的保护和利用,积极申请发明专利、实用新型专利和软著,目前累计获得的知识产权已经有10多项。湖南泰德航空以客户需求为导向,积极拓展核心业务,与国内顶尖科研单位达成深度战略合作,整合优势资源,攻克多项技术难题,为进一步的发展奠定坚实基础。

  长时间加班到深夜,26岁外派工程师家中熟睡中猝死,妻子:公司不愿走工伤认定,仅收到3万元抚恤金

  官方公示:谷爱凌将代表中国参加米兰冬奥会!她去年收入1.6亿元,99%来自赛场外,刚拿下世界杯个人第20冠

  越南U23爆冷赢韩国夺季军,当地商人承诺奖励30亿越南盾!韩媒直呼PG电子“巨大耻辱”,上一次还是23年前

  欲给嫣然医院捐2600万却被李亚鹏“砍”至500万,捐款人发声:被李亚鹏感动,没想到捐款还有人砍价的

  湖南泰德航空专注航空发动机燃油、润滑、冷却系统研发,产品涵盖高速燃油泵/阀、高低温油源系统等精密部件

  6-2!国米连扳6球大逆转 10轮不败+6分领跑 5000万后卫替补造3球

  猪肉比西红柿便宜!3家上市猪企预计2025年亏损,专家:高成本企业卖一头猪最多亏360元

  19岁养家,27岁轰动离世:她是天才画家,公开作画打脸质疑,还创办了所女性画校!

  Mad Catz美加狮21按键鼠标M.M.O. 7+国行上市,到手999元

  265/965手表用户反馈升级佳明27.09更新后不再追踪步数、睡眠等

  AMD Ryzen 7 9850X3D处理器实测DDR5 4800 vs 6000内存差距不足1%

  vivo V70 Elite手机曝光:骁龙8s Gen 3芯片,6500mAh电池

TOP